01class1. 雷电参数
1.1 雷电活动频度
雷暴日
雷暴日Td是一年中发生雷电的天数,以听到雷声为准,在一天内只要听到过雷声,无论次数多少,均计为一个雷暴日。
雷暴小时
雷暴小时Th是一年中发生雷电放电的小时数,在一个小时内只要有一次雷电,即计为一个雷电小时。 一个雷暴日折合三个雷暴小时。
少雷区
年均雷暴日数不超过15d或地面落雷密度不超过0.78次/(km2·a)的地区。
注:《建筑物电子信息系统防雷技术规范》(GB 50343-2012)规定少雷区年平均雷暴日在25d及以下的地区。
中雷区
年平均雷暴日数超过15d 但不超过40d 或地面落雷密度超过0.78次/(km2·a)但不超过2.78次/(km2·a)的地区。
注:《建筑物电子信息系统防雷技术规范》(GB 50343-2012)规定中雷区年平均雷暴日大于25d ,不超过40d 的地区。
多雷区
年平均雷暴日数超过40d 但不超过90d 或地面落雷密度超过2.78次/(km2·a)但不超过7.98次/(km2·a)的地区。
强雷区
年平均雷暴日数超过90d 或地面落雷密度超过7.98次/(km2·a)以及根据运行经验雷害特殊严重的地区。
1.2 地面落雷密度
地面落雷密度表示每平方公里地面在一个雷暴日受到的平均雷击次数。用γ表示(次/km2·雷暴日)。我国标准对Td =40的地区,取 =0.07 。
1.3 雷电流幅值
雷电流是指雷击于接地良好的目标时泄入大地的电流。雷电流的幅值(I)一般都是在塔上或避雷针上用磁钢棒测出的。
一般地区,雷电流幅值超过I的概率可按下式计算:
lgP=-I/88
02class2. 防雷保护计算
2.1 线路落雷次数
每100km线路的年落雷次数NL按下式计算:
式中:
NL——线路落雷次数[次/(100km·a)];
Ng——地闪密度[次/(km2·a)],对年平均雷暴日数为40d的地区暂取2.78次/(km2·a);
hT——杆塔高度(m);
b——两根底下之间的距离(m)。
2.2 击杆率
击杆率(g)是指雷击线路杆塔次数与线路雷击总数之比值,击杆率的大小与地线根数和地形有关。具体见下表。
|
地形
|
地线根数
|
|
1
|
2
|
|
平原
|
1/4
|
1/6
|
|
丘陵
|
1/3
|
1/4
|
2.3 雷电流幅值的概率
一般我国雷暴日超过20的地区雷电流的概率分布为:

式中:
P——雷电流幅值概率;
I——雷电流幅值。
2.4 线路绕击率
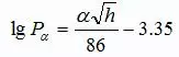
虽然线路架设地线,仍然存在雷闪绕过地线直接击中导线的可能性。雷电绕过架空地线直击于导线,而造成绝缘子串的闪络放电,这种现象称为绕击。雷电绕过架空地线直击导线的概率,称为绕击率。雷电绕击导线的几率用绕击率Pα来描述。 Pα与线路经过地区的地形、地貌、地质条件、保护角和杆塔高度等因素有关:
对平原地区:
对山区:

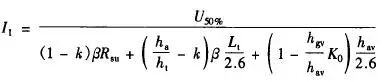
2.5 雷击杆塔的耐雷水平
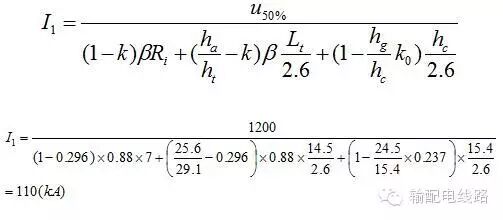
线路遭受雷击时,绝缘子串不发生闪络的最大雷电流幅值,称为该线路的耐雷水平。用I1表示,单位kA。雷电的极性有正、有负,负极性的雷电占85%左右。线路的耐雷水平与绝缘子串的U50%雷电冲击电压,杆塔的冲击接地电阻,杆塔塔型及对地高度等有关。具体计算如下:
式中:
U50%——正极性冲击放电电压值;
k——导线与地线间的耦合系数;
k1——电晕校正系数;
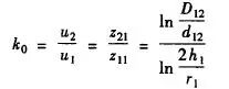
k0——导线与地线间的j几何耦合系数;
r1——地线的半径;
h1——地线的平均高度;
d12——地线与导线间的距离;
D12——地线与导线镜像间的距离;
β——杆塔分流系数;

RSU——冲击接地电阻;
ha——横担对地高度;
ht——杆塔高度;
hav——导线的平均高度;
hgv——地线的平均高度;
Lt——杆塔电感。
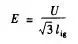
2.6 建弧率
绝缘子串和空气间隙在雷电冲击闪络之后,转变为稳定的工频电弧的概率(既建弧率η)。
式中:
E——绝缘子串的平均运行电压梯度有效值;
U——定额电压;
lig——绝缘子串的闪络距离。
2.7 雷击跳闸率
雷击跳闸率是指每100km长的线路每年由于雷击引起的跳闸次数。
式中:
N——跳闸率,次/(100km·a);
P1——超过雷击杆塔顶部时耐雷水平的雷电流概率;
P2——超过雷击导线时耐雷水平的雷电流概率。
03class3. 防雷保护计算实例
题目:
平原地区220KV双避雷线线路如图所示,绝缘子串由13×X-4.5组成,其正极性U50%为1200KV,避雷线半径为r=5.55mm,导线弧垂12m,避雷线弧垂7m,杆塔冲击接地电阻Ri=7Ω,求该线路的耐雷水平及雷击跳闸率。(避雷线对边相的耦合系数k0为0. 237,经电晕修正后的耦合系数k为0.296)
计算:
(1)避雷线的平均高度:
hg=h-2f/3=(23.4+2.2+3.5)-2×7/3=24.5m
导线的平均高度:
hc=h-2f'/3=23.4-2×12/3=15.4m
(2)计算杆塔等值电感及分流系数β
可知铁塔单位长度电感为0.5 μH,所以杆塔等值电感为:
Lt=0.5×29.1=14.5 μH
根据2.5得分流系数β=0.88
(3)计算雷击杆塔时的耐雷水平
(4)计算雷绕击于导线时的耐雷水平I2
I2=1200/100=12 kA
(5) 计算雷电流幅值超过耐雷水平的概率
根据

雷电流超过I1的概率P1=5.6%, 超过I2的概率P2=73.1%。
(6)计算击杆率g、绕击率Pa,和建弧率η。
根据2.2得到击杆率g=1/6
根据
求得绕击率Pa=0.144%(α=16.5°)
根据2.6得:

(7)计算线路跳闸率n
雷击跳闸率n=绕击跳闸率n1+反击跳闸率n2