1. 等长法
由于弧垂表中弧垂是档距中央弧垂,因此在弧垂观测时应尽量采用等长法(平行四边形法)进行弧垂观测,即a=b=f(f为档距中央弧垂)。
图中:
h—悬点高差,
θ—悬挂点高差角;
L—档距;
a—目击视线A′B′对悬点A下垂线的垂直距离(m);
b--目击视线A′B′对悬点B下垂线的垂直距离(m);
Δa—温度变化后目击侧悬点A下垂线垂直截距a的微调量(m);
Δa=2×Δf,Δf—为温度变化后档距中央弧垂的变化量。
2. 异长法
图中:
h—悬点高差,
θ—悬挂点高差角;
L—档距;
a—目击视线A′B′对悬点A下垂线的垂直距离(m);
b--目击视线A′B′对悬点B下垂线的垂直距离(m);
Δa—温度变化后目击侧悬点A下垂线垂直截距a的微调量(m);
Δa=2×
,Δf—为温度变化后档距中央弧垂的变化量。
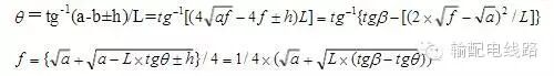
3. 角度法
3.1 档端角度法
注:档端经纬仪视线对架空线的切点范围:a/f=0.408~1.853
图中:
f-档距中央的弧垂,
L-观测档档距
α-仪器横轴至悬挂点的距离(如图示)
θ-弧垂观测角
β-仪器横轴和观测档另一端悬挂点的连线与水平面的夹角
h=L×tgβ-a,观测档两端的悬点高差,当观测档的另一端悬挂点高于仪器所在塔位的悬挂点时(即悬点A低于悬点B)取“+”,低于仪器所在塔位的悬挂点时(即悬点A高于悬点B)取“-”
3.2 档内角度法


注:
f-档距中央的弧垂,
L-观测档档距,
L′-仪器与观测档两塔位中较近一基塔位的距离
α-仪器横轴至悬挂点的距离(如图示)
θ-弧垂观测角
β-仪器横轴和观测档另一端悬挂点的连线与水平面的夹角
h=(L-L′)×tgβ-a,观测档两端的悬点高差,当观测档的另一端悬挂点高于仪器所在塔位的悬挂点时(即悬点A低于悬点B)取“+”,低于仪器所在塔位的悬挂点时(即悬点A高于悬点B)取“-”
3.3 档外角度法


说明:
f-档距中央的弧垂
α-仪器横轴至悬挂点的距离(如图示)
θ-弧垂观测角,
β-仪器横轴和观测档另一端悬挂点的连线与水平面的夹角
h=(L+L′)×tgβ-a,观测档两端的悬点高差,当观测档的另一端悬挂点高于仪器所在塔位的悬挂点时(即悬点A低于悬点B)取“+”,低于仪器所在塔位的悬挂点时(即悬点A高于悬点B)取“-”
4. 弧垂观测档的选择规定
(1) 紧线段在5档及以下时应靠近中间选择一档;
(2) 紧线段在6~12档时靠近两端各选择一档;
(3) 紧线段在12档以上时靠近两端及中间可选3~4档;
(4) 观测档宜选档距较大和悬挂点高差较小及接近代表档距的线档;
(5) 弧垂观测档的数量可以根据现场条件适当增加,但不得减少。
以上公式可以通过EXCE编辑好程序,然后拷入智能手机,现场可以随时使用,极为方便。